Danh mục sản phẩm
Phụ kiện thang máy
Tin tức
Cập nhật: 31-05-2024 05:52:15 | Tin tức | Lượt xem: 346
Trong thế kỷ 20, transistor là một trong những phát minh đột phá nhất trong lĩnh vực điện tử. Đồng thời, với khả năng kiểm soát dòng điện một cách chính xác và linh hoạt, transistor trở thành một thành phần quan trọng trong nhiều ngành công nghiệp.
Trong ngành thang máy, transistor đã tạo ra những ứng dụng đáng kể, mang lại hiệu suất cao và tính an toàn cho hệ thống thang máy.

Transistor đã được sử dụng rộng rãi trong nhiều khía cạnh của ngành thang máy, từ điều khiển tín hiệu và giao tiếp đến điều chỉnh tốc độ và hệ thống phanh. Dưới đây là một số ứng dụng chính của transistor trong ngành thang máy:
Vậy rốt cuộc Transistor là gì và hoạt động như thế nào?
Hiểu đơn giản, transistor là một thiết bị bán dẫn trong đó một lớp chất bán dẫn được kẹp giữa hai lớp chất bán dẫn khác.
Tại sao thiết bị này được gọi là Transistor? Tên “bóng bán dẫn” có thể được gọi là “điện trở chuyển giao”. Nó chuyển dòng điện từ vùng có điện trở thấp sang vùng có điện trở cao. Và đó là lý do tên gọi “transistor” ra đời.
Tương tự như đi-ốt (diode), transistor là những thành phần quan trọng trong lĩnh vực điện tử, đặc biệt là trong bộ điều khiển chuyển động thang máy và các bộ biến tần (variable-frequency drives – VFDs) có cấu tạo hoặc nguyên lý phức tạp. Cơ chế bán dẫn của transistor là sự chuyển dịch của các hạt mang điện khi có điện áp đặt vào các cực. Các hạt mang điện tích âm và các lỗ trống di chuyển lại gần hoặc ra xa lớp tiếp giáp, do đó điều chỉnh dòng điện giữa các chân khác của transistor và chân nối đất.
Sự khác biệt giữa đi-ốt và transistor là trong đi-ốt có hai lớp (silic loại N và loại P, với một lớp tiếp giáp giữa chúng) nơi hoạt động bán dẫn diễn ra.
Transistor là hai lớp chất bán dẫn loại N (chất mang đa số: electron)/loại P (sóng mang đa số: lỗ trống) trong đó một loại chất bán dẫn khác (loại P/loại N) được kẹp vào.
Cần chú thích rằng cấu tạo của transistor bao gồm ba lớp bán dẫn: Emitter (nguồn điện), base (cơ sở) và collector (thu thập điện), trong các hình vẽ minh họa, chúng tôi giữ nguyên các từ này bằng tiếng Anh.

Ở đây chất bán dẫn loại P được kẹp giữa chất bán dẫn loại N. Vậy nó là một bóng bán dẫn NPN.

Ở đây loại N được kẹp giữa chất bán dẫn loại P. Vì vậy, nó là một PNP.
Trong bài đăng này, chúng ta thảo luận về bóng bán dẫn NPN và cơ chế của nó cũng tương tự với PNP.
Để vận hành một thiết bị điện tử, trước tiên chúng ta cần bổ sung nguồn điện đi kèm với thiết bị. Vì vậy, nếu chúng ta nối hai đầu của một nguồn điện thì các electron sẽ bị kéo ra ngoài như trong sơ đồ mạch bên dưới và chúng ta có được dòng điện. Liệu có phải như vậy?

Câu trả lời là không. Lý do rất đơn giản, ngay khi bạn tạo một điểm nối PN, một rào cản tiềm năng sẽ được hình thành. Rào cản này chống lại dòng điện tử từ bên này sang bên kia.
Bây giờ, để có dòng điện chạy qua bóng bán dẫn, chúng ta cần kết nối cực dương của nguồn điện với điểm nối cơ sở (đối với bóng bán dẫn NPN) có điện áp ít nhất là 0,7 Volt. Hãy xem điều gì sẽ xảy ra sau sự sắp xếp này.

Khi bạn kết nối đế với cực dương, phía P (đế) sẽ cảm thấy chênh lệch điện áp mạnh hơn phía N (bộ phát). Vì vậy đường giao nhau trở thành phân cực thuận.
Khi điện áp đặt vào vùng P bằng hoặc lớn hơn 0,7 Volt (đối với silicon) và điểm nối thiên về phía trước, miền nghèo (depletion region) biến mất và các electron từ phía N khuếch tán sang phía P và các lỗ trống từ phía P- khuếch tán về phía N.

Sau khi các electron đến vùng base từ bộ phát, các electron có thể đi qua cực của vùng base hoặc chúng có thể đi qua cực của vùng collector để hoàn thành mạch.
Bây giờ nếu bạn muốn dòng điện đi qua vùng base thì các electron phải trải qua quá trình tái hợp. Nhưng để sử dụng transistor đúng cách, chúng ta cần thu thập các electron qua vùng collector. Để làm được điều này, chúng ta phải giảm quá trình tái hợp. Giải pháp này có thể đạt được bằng hai điều – thứ nhất, giảm độ pha tạp ở vùng base và thứ hai, bằng cách giảm chiều rộng của base.
Khi các electron chạm tới cực base (phía P), nó trở thành hạt tải điện thiểu số (đối với bóng bán dẫn NPN). Vì vậy, nếu bạn tạo ra mối nối cực collector – base có độ lệch thuận, thì hầu như không có khả năng các electron có thể vượt qua rào cản.
Nhưng nếu bạn làm cho tiếp giáp cực collector – base phân cực ngược, thì các electron (vì chúng là hạt thiểu số trong vùng base của transistor loại P) có thể dễ dàng đi qua điểm nối và có thể được thu thập thông qua bộ thu.

Hồ sơ Doping và chiều rộng của các khu vực

Hiểu ký hiệu mạch
Như bạn đã biết, có ba cực trong một bóng bán dẫn.

Phần giữa có thể dễ dàng được xác định là phần đế nhưng thật khó để phân biệt sự khác biệt giữa bộ phát và bộ thu chỉ bằng cách nhìn vào hình.
Vì vậy để xác định bộ phát, chúng ta luôn đánh dấu mũi tên trên bộ phát. Cũng có thể biết bóng bán dẫn là loại NPN hay loại PNP bằng cách xem hướng mũi tên trên bộ phát.
Chúng ta biết rằng chiều dòng điện luôn ngược chiều với chiều chuyển động của các electron và hướng về chiều chuyển động của lỗ trống.


Nếu bạn vẫn gặp khó khăn trong việc xác định hướng thích hợp của mũi tên của bộ phát, bạn có thể sử dụng phím tắt này. Chỉ cần vẽ mũi tên theo chiều từ P đến N và đặt tên cho phù hợp.
Có thể chứng minh rằng dòng phát (IE) là tổng của dòng base (IB) và dòng collector (IC).

Đây là một giả định để chúng ta hiểu các thông số khác nhau:

Nhìn vào sơ đồ trên. Giả sử, 100 electron được bơm từ bộ phát đến cực gốc (việc lấy 100 electron nhằm đơn giản hóa việc tính toán và hiểu biết). Trong số 100 electron, có 10 electron tham gia vào quá trình tái hợp và 90 electron được thu thập qua vùng collector. Bây giờ, hãy xem những con số đó một cách cẩn thận và bạn sẽ tìm thấy sự tương đồng với phương trình (i) giữa chúng.

Từ bây giờ, hãy thử suy nghĩ ngược lại. Nếu 20 electron phát ra từ base thay vì 10 electron thì số electron phát ra từ cực emitter và thu qua cực collector cũng thay đổi để giữ phương trình (i). Bằng cách này, chúng ta có thể kiểm soát số lượng electron được thu thập qua bộ thu.
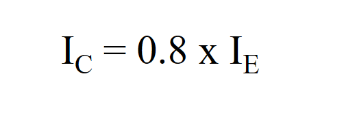
Chúng ta sẽ bám sát ví dụ trước hơn một chút. Chúng ta có 100 electron phát ra từ bộ phát, 20 electron được thu thập qua base. Vì vậy có thể nói, số electron thu được bằng 80% số electron phát ra.


Giá trị của alpha có giá trị tối đa là 1 (trong điều kiện lý tưởng). Nói chung, một transistor tốt có giá trị alpha rất gần với 1 vì giá trị alpha càng cao nghĩa là số lượng electron được thu thập qua bộ thu càng nhiều. Đây là kỹ thuật khuếch đại cơ bản. Giá trị của alpha phụ thuộc vào nồng độ pha tạp, độ rộng của vùng,…
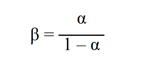
Có một mối quan hệ khác giữa Đầu vào (Ib) và đầu ra (Ic). Tỷ lệ Ic và Ib được gọi là Beta.

Beta là hệ số cho biết dòng điện đầu ra được khuếch đại bao nhiêu và nó còn được gọi là ‘Mức tăng hiện tại’. Thông thường, Beta có giá trị cao hơn nhiều so với alpha (chẳng hạn như 500 hoặc 800,…).
Mối quan hệ giữa alpha và beta:

>> Xem thêm: Top 11 Thang Máy Độc Đáo Nhất Thế Giới
Thang Máy Tân Phát là một trong những công ty chuyên kinh doanh, lắp đặt thang máy hàng đầu tại Quảng Ninh. Tân Phát cam kết đem lại cho khách hàng những sản phẩm thang máy chất lượng nhất với nhiều ưu đãi và chính sách mua hàng hấp dẫn. Liên hệ ngay để nhận được những lời tư vấn giá trị đến từ kỹ sư nhiều kinh nghiệm:
-----------------------------------
